"Partisipan studi ini sudah memenuhi jumlah yang diharapkan. Untuk saat ini, kami tutup pendaftaran baru. Terima kasih atas ketertarikan Anda."

Masalah kesehatan mental pada mahasiswa terus mengalami peningkatan. Kasus kesehatan mental yang tidak teridentifikasi dan dikelola secara memadai akan menimbulkan implikasi negatif bagi mahasiswa. Dalam hal ini, promosi kesehatan mental pada mahasiswa sangat penting dan universitas memainkan peran penting dalam meningkatkan penanganan kesehatan mental di kalangan mahasiswa dengan menyediakan cara-cara yang efektif, mudah diakses dan terjamin kerahasiaannya untuk mendeteksi, mencegah dan mengatasi gangguan mental umum pada mahasiswa. Intervensi berbasis internet untuk menangani gejala cemas dan depresi bisa menjadi alternatif solusi. Oleh karena itu, ada kebutuhan untuk menguji kelayakan intervensi internet berbasis transdiagnostik yang telah diadaptasi dengan budaya Indonesia untuk menangani gejala depresi dan atau kecemasan pada mahasiswa di Indonesia.

Saya, Metta Rahmadiana, MSi.,Psi, peneliti utama yang berada di bawah supervisi, Prof. DR. Heleen Riper, Prof DR. Pim Cuijpers dari Faculty of Behavioral and Movement Science, Vrije Universiteit (VU), Amsterdam, The Netherlands dan Ibu Supra Wimbarti, PhD dari Fakultas Psikologi Universitas Gadjah Mada akan melakukan penelitian berjudul Studi Kelayakan: Adaptasi Budaya terhadap Intervensi Internet berbasis Transdiagnostik untuk menangani Gejala Kecemasan dan Depresi pada Mahasiswa (Culture Adapted Guided Internet based Transdiagnostic Intervention for University Students in Indonesia with Symptoms of Anxiety and/or Depression. A Feasibility Study). Penelitian ini disponsori oleh LPDP (Lembaga Pengelola Dana Pendidikan).

I-AiMentalWELLness
`
Menguji kelayakan dan akseptabilitas intervensi internet yang telah diadaptasi budaya untuk menangani gejala kecemasan dan atau depresi pada populasi mahasiswa.
Mahasiswa Universitas Gadjah Mada dengan ketentuan:
  • Memiliki akses ke komputer dan internet
  • Berusia 18 tahun ke atas.
  • Dapat berbicara dan membaca dengan lancar dalam bahasa Indonesia
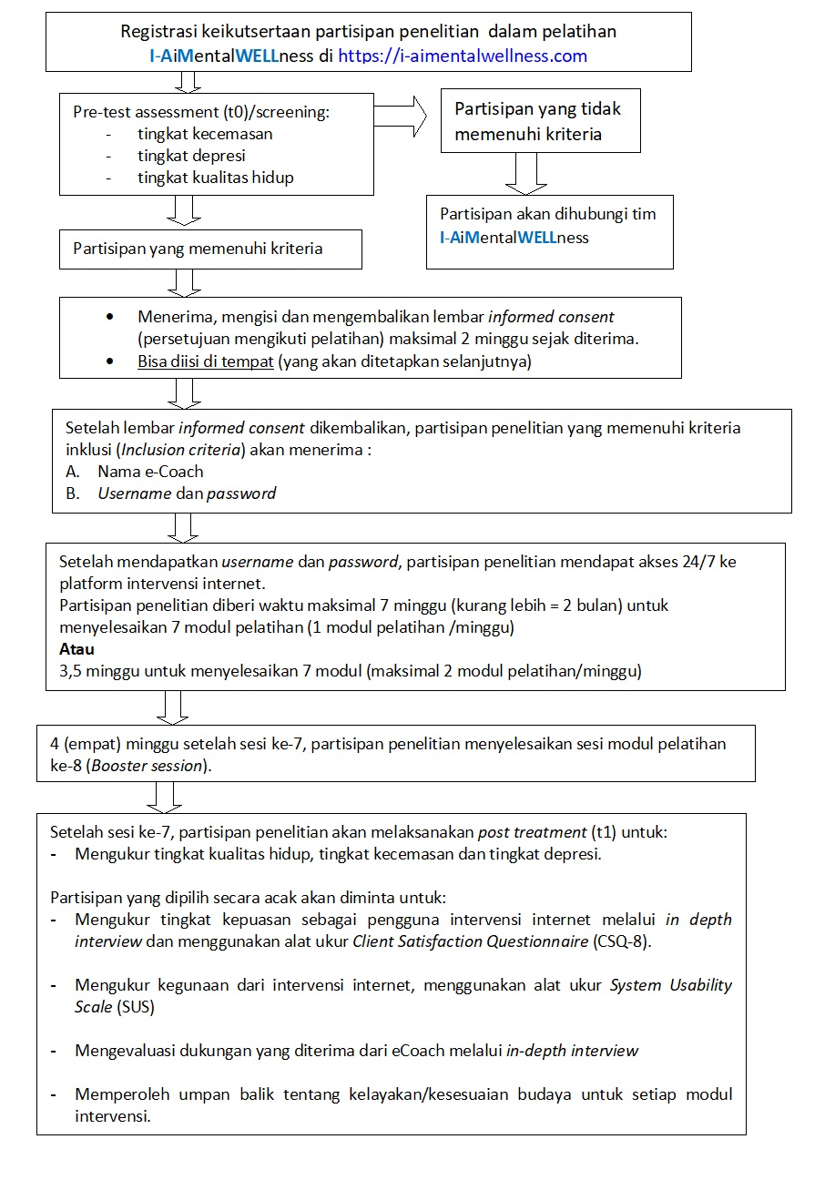
Prosedur Penelitian
Intervensi berbasis internet I-AiMentalWELLness mengacu pada versi asli German-Swiss I-Care intervention dalam Bahasa Inggris. Intervensi I-Care adalah intervensi transdiagnostik berbasis Internet yang dipandu dan ditujukan untuk mengatasi gejala depresi dan kecemasan serta disusun berdasarkan pada prinsip terapi perilaku kognitif.
Peneliti utama dan tim pelatihan I-AiMentalWELLness menerjemahkan versi asli ke Bahasa Indonesia dan di adptasi kultural agar lebih sesuai dengan budaya dan kebutuhan mahasiswa Indonesia. Oleh karena itu, isi (konten) dan urutan (sequence) dari 8 sesi online yang digunakan dalam modul pelatihan I-AiMentalWELLness sama dengan versi asli intervensi I-Care.
Konten (isi) dalam intervensi internet I-AiMentalWELLness terdiri dari teks informasi, latihan harian, testimonial dan ilustrasi gambar yang akan membantu partisipan mengintegrasikan setiap modul intervensi dalam kehidupan sehari-hari. Penyelesaian modul intervensi ini akan memakan waktu sekitar 60 menit.
Pelatihan online ini terdiri dari 7 sesi modul pelatihan dan 1 modul mood booster. Durasi waktu penelitian adalah 3,5 minggu (jika partisipan menyelesaikan 2 modul pelatihan / minggu) atau 7 minggu (jika partisipan menyelesaikan 1 modul pelatihan/minggu). Durasi waktu ini belum termasuk 1 modul mood booster yang diberikan 4 minggu setelah sesi ke-7.
Partisipan bebas memilih keikutsertaan dalam penelitian ini tanpa ada paksaan. Apabila sudah memutuskan untuk ikut, partisipan juga bebas untuk mengundurkan diri/ berubah pikiran setiap saat tanpa dikenai denda ataupun sanksi apapun.
  • Kerahasiaan data

    Semua informasi yang berkaitan dengan identitas partisipan penelitian akan dirahasiakan dan hanya akan diketahui oleh peneliti utama. Apabila hasil penelitian akan dipublikasikan, tidak akan mencantumkan identitas partisipan penelitian.

  • Keuntungan dan kerugian yang mungkin dialami partisipan

    Manfaat keikutsertaan dalam penelitian ini adalah partisipan dapat mengenali gejala kecemasan dan atau depresi serta memahami pentingnya bantu diri (self-help) untuk memperoleh kesejahteraan dan kesehatan mental serta pencapaian akademis sebagai mahasiswa.

    Penyelesaian sesi/modul intervensi internet dapat menyebabkan peningkatan kecemasan dan atau depresi yang sifatnya ringan (mild).

    Namun demikian, dari berbagai penelitian yang ada, diketahui tidak ada resiko dan atau efek samping yang berat dari aktivitas penggunaan intervensi internet.

  • Partisipan akan mendapat insentif jika menyelesaikan keseluruhan sesi 1-8.